Slovenčina
Doména rakovnica.sk
Toto je oficiálna webová stránka obce Rakovnica.
Oficiálne stránky využívajú doménu rakovnica.sk.
Táto stránka je zabezpečená
Buďte pozorní a vždy sa uistite, že zdieľate informácie iba cez zabezpečenú webovú stránku verejnej správy SR. Zabezpečená stránka vždy začína https:// pred názvom domény webového sídla.
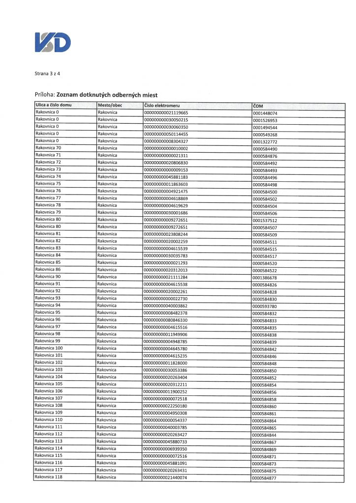
Oznámenie o prerušení distribúcie ELEKTRINY: dňa: 16.mája 2023 od 10.30h. do 14.00 h. , č.domov: 70-127, 221, 224-226, 230, 232, 244, 355, 364
14.05.2023
Oznámenie o uložení zásielky
Výdaj naturálií AGROSPOL HONCE 2025
ZBER ELEKTROODPADU 4.9.2025
O Z N A M
Kollárovci pri tuneli – Piatok 19.9.2025 o 17:00 h.
A máme tu opäť naše slávne Dni obce Rakovnica 2025. Srdečne pozývame všetkých občanov, rodákov a priaznivcov našej obce…
Výkup papiera a použitých olejov 26.6.2025
Zber ELEKTROODPADU – pondelok 9.6.2025
VYBAVENÉ !!! Vyhlásenie výberového konania na pozíciu Vedúceho/cej denného stacionari v Rakovnici sa predlžuje, nakoľko sa zatiaľ táto pozícia ešte nepreobsadila. Termín na zasielanie žiadosti sa predlžuje do stredy 28.5.2025 !!!
